题目内容
A.
B.
C.
D.
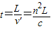
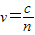
【答案】分析:由
可求出光在玻璃中的传播速度,光在玻璃的内界面上恰好发生全反射,将速度沿玻璃管方向及垂直玻璃管方向进行分解,由
可得沿玻璃方向的速度,于是由玻璃管的长度与此速度的比值即为传播的时间.
解答:解:由
可得,光在玻璃中的传播速度,即为
光在玻璃的内界面上恰好发生全反射,
由
结合运动的分解可得,
光在玻璃中沿玻璃管方向传播的速度为:v′=
sinc=
则光在玻璃中传播的时间为:
故选:B
点评:光的全反射必须从光密介质进入光疏介质,同时入射角大于临界角.考查运动的分解及
、
与
等分式.
解答:解:由
光在玻璃的内界面上恰好发生全反射,
由
光在玻璃中沿玻璃管方向传播的速度为:v′=
则光在玻璃中传播的时间为:
故选:B
点评:光的全反射必须从光密介质进入光疏介质,同时入射角大于临界角.考查运动的分解及
练习册系列答案
相关题目