题目内容

如图所示,在倾角θ=37°的足够长的固定的斜面底端有一质量m=1.0kg的物体,物体与斜面间动摩擦因数μ=0.25。现用轻细绳将物体由静止沿斜面向上拉动,拉力F=10.0N,方向平行斜面向上,经时间t = 4.0s绳子突然断了。求:(1)绳断时物体的速度大小。(2)从绳子断了开始到物体再返回到斜面底端的运动时间?(sin37°=0.60,cos37°=0.80,g =10m/s2

 

 

【答案】

8m/s

【解析】

试题分析:(1)绳子断开之前物体做匀加速运动,根据牛顿定律,且,解得a=2m/s2,v=8m/s;

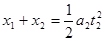
(2)绳子断开之前物体做匀加速运动的位移为

绳子断开之后物体做匀减速运动的加速度满足

解得a1=8m/s2

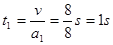
上升到最高点的时间

绳子断开之后物体上升的位移

物体向下做匀加速运动解得a2=4m/s2

回到底端用的时间满足,解得

所以从绳子断了开始到物体再返回到斜面底端的运动时间为1+

考点:此题为牛顿定律的综合应用问题,主要考查牛顿第二定律及运动公式。

 

练习册系列答案
相关题目

违法和不良信息举报电话:027-86699610 举报邮箱:58377363@163.com

精英家教网