题目内容
【答案】分析:由于左边的磁场强度比右边的磁场的强度大,所以粒子在左边的运动的半径比在右边时的运动的半径小,当转过一个圆周时,粒子位置比原来粒子的位置要低,所以粒子的位置在不断的下移,当再次经过O点时,下降的距离恰好为2R1.
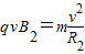
解答:解:根据牛顿第二定律得


化简得
①
②
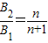
如右图是粒子在一个周期的运动,则粒子在一个周期内经过y负半轴的点在y负半轴下移2(R2-R1),在第n次经过y负半轴时应下移2R1,
则有 2n(R2-R1)=2R1 ③
连立①②③化简得
,n=1,2,3,…
点评:本题考查带电粒子在匀强磁场中的运动,要掌握住半径公式、周期公式,画出粒子的运动轨迹后,几何关系就比较明显了.
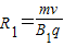
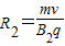
解答:解:根据牛顿第二定律得
化简得
如右图是粒子在一个周期的运动,则粒子在一个周期内经过y负半轴的点在y负半轴下移2(R2-R1),在第n次经过y负半轴时应下移2R1,
则有 2n(R2-R1)=2R1 ③
连立①②③化简得
点评:本题考查带电粒子在匀强磁场中的运动,要掌握住半径公式、周期公式,画出粒子的运动轨迹后,几何关系就比较明显了.
练习册系列答案
相关题目