题目内容
为了清理堵塞河道的冰凌,空军实施投弹爆破.飞机在河道上空高H处以速度v水平匀速飞行,投掷下炸弹并击中目标.求(1)炸弹刚脱离飞机到击中目标所飞行的水平距离;
(2)击中目标时的速度大小.(不计空气阻力)
【答案】分析:(1)投出去的炸弹做平抛运动,平抛运动在水平方向上做匀速直线运动,在竖直方向上做自由落体运动.平抛运动的高度确定时间,根据高度求出时间,再根据水平速度和时间求出水平位移.
(2)求出竖直方向上的分速度,根据运动的合成,利用平行四边形定则,求出合速度.
解答:解:设飞行的水平距离为s,在竖直方向上
得飞行时间为
则飞行的水平距离为
故炸弹刚脱离飞机到击中目标所飞行的水平距离为
.
击中目标时竖直方向上的分速度
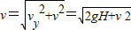
得击中目标时的速度为
故击中目标时的速度大小为
.
点评:解决本题的关键掌握平抛运动的处理方法,平抛运动在水平方向上做匀速直线运动,在竖直方向上做自由落体运动.
(2)求出竖直方向上的分速度,根据运动的合成,利用平行四边形定则,求出合速度.
解答:解:设飞行的水平距离为s,在竖直方向上
得飞行时间为
则飞行的水平距离为
故炸弹刚脱离飞机到击中目标所飞行的水平距离为
击中目标时竖直方向上的分速度
得击中目标时的速度为
故击中目标时的速度大小为
点评:解决本题的关键掌握平抛运动的处理方法,平抛运动在水平方向上做匀速直线运动,在竖直方向上做自由落体运动.
练习册系列答案
相关题目