题目内容
如图所示,民族运动会上有一个骑射项目,运动员骑在奔弛的马背上沿跑道AB运动,拉弓放箭射向他左侧的固定目标.假设运动员骑马奔驰的速度为v1,运动员静止时射出的箭速度为v2,跑道离固定目标的最近距离OA=d.若不计空气阻力的影响,要想命中目标且射出的箭在空中飞行时间最短,则( )A.运动员放箭处离目标的距离为
B.运动员放箭处离目标的距离为
C.箭射到靶的最短时间为
D.箭射到靶的最短时间为
【答案】分析:运动员放出的箭既参与了沿马运行方向上的匀速直线运动,又参与了垂直于马运行方向上的匀速直线运动,当放出的箭垂直于马运行方向发射,此时运行时间最短,根据t=
求出最短时间,根据分运动和合运动具有等时性,求出箭在马运行方向上的距离,根据运动的合成,求出运动员放箭处离目标的距离.
解答:解:A、当放出的箭垂直于马运行方向发射,此时运行时间最短,所以最短时间t=
,则箭在沿马运行方向上的位移为x=v1t=
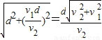
所以放箭处距离目标的距离为s=
,故A正确,B错误;
C、当放出的箭垂直于马运行方向发射,此时运行时间最短,所以最短时间t=
,故C、D错误.
故选:A
点评:解决本题的关键知道箭参与了沿马运行方向上的匀速直线运动和垂直于马运行方向上的匀速直线运动,知道分运动与合运动具有等时性.
解答:解:A、当放出的箭垂直于马运行方向发射,此时运行时间最短,所以最短时间t=
所以放箭处距离目标的距离为s=
C、当放出的箭垂直于马运行方向发射,此时运行时间最短,所以最短时间t=
故选:A
点评:解决本题的关键知道箭参与了沿马运行方向上的匀速直线运动和垂直于马运行方向上的匀速直线运动,知道分运动与合运动具有等时性.
练习册系列答案
相关题目
| A、运动员骑马奔驰时应该瞄准靶心放箭 | ||||
B、运动员应该在距离A点为
| ||||
C、箭射到靶的最短时间为
| ||||
D、箭射到靶的最短时间为
|