题目内容

如图所示,一劲度系数为的弹簧.竖直地放在桌面上,上面压一质量为m的物体,另一劲度系数为的弹簧竖直地放在物体上面,其下端与物体的上表面连接在一起,两个弹簧的质量都不计.要想使物体在静止时下面弹簧承受的压力减为原来的时,应将上面弹簧的上端A竖直向上提高一段距离d,则d=______.

答案:略
解析:

物体处于平衡状态,在竖直方向上所受的合外力为零.当上面的弹簧没有作用力时,下面弹簧对物体的支持力等于物体的重力,所以下面弹簧的压缩量为

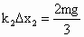
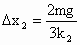
当上面弹簧提起时,下面弹簧的弹力为物体重力的,故弹簧的压缩量为

下面弹簧两次压缩之差为

这说明了重物要上升

当提起A端时,上面的弹簧伸长量为,产生的弹力大小为,所以

A端竖直上提的高度等于下面弹簧压缩量的减少量和上面弹簧伸长量之和,如图所示.

本题的关键是上面弹簧A端的移动距离不仅是上面弹簧的伸长量,还应有下面弹簧压缩量的减少.本题重点考查了受力分析和胡克定律.值得注意的是,题中研究的两种情形中,下面弹簧都是缩短的.如果把条件改为“要想使物体在静止时下面弹簧受到的弹力减为原来的时”,还应考虑下面弹簧有可能处于伸长状态,请读者自行解决.


练习册系列答案
相关题目

违法和不良信息举报电话:027-86699610 举报邮箱:58377363@163.com

精英家教网