题目内容
一宇航员站在某质量分布均匀的星球表面上沿竖直方向以初速度v抛出一个小球,测得小球经时间t落回抛出点,已知该星球半径为R,引力常量为G,求:该星球的密度.
【答案】分析:(1)小球做竖直上抛运动,由公式x=vt-
gt2可求得该星球表面的重力加速度g;
(2)运用竖直上抛运动规律求出星球表面重力加速度.忽略星球自转的影响,根据万有引力等于重力列出等式求解天体质量,从而算出星球的密度;
解答:解:在给该星球上小球做竖直上抛运动

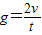
因为x=0
故解得
又因为星球表面的重力等于万有引力
则星球的质量为M=
所以星球的密度为
=
答:该星球的密度为
.
点评:重力加速度g是天体运动研究和天体表面宏观物体运动研究联系的物理量.同时本题要求学生掌握物体所受重力等于其吸引力.
(2)运用竖直上抛运动规律求出星球表面重力加速度.忽略星球自转的影响,根据万有引力等于重力列出等式求解天体质量,从而算出星球的密度;
解答:解:在给该星球上小球做竖直上抛运动
因为x=0
故解得
又因为星球表面的重力等于万有引力
则星球的质量为M=
所以星球的密度为
答:该星球的密度为
点评:重力加速度g是天体运动研究和天体表面宏观物体运动研究联系的物理量.同时本题要求学生掌握物体所受重力等于其吸引力.
练习册系列答案
相关题目