题目内容
一颗小行星绕太阳做匀速圆周运动的轨道半径是地球公转半径的4倍,则这颗小行星运行速率是地球运行速率的
[ ]
A.4倍
B.2倍
C.0.5倍
D.16倍
答案:C
解析:
解析:
|
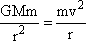
小行星和地球绕太阳做圆周运动的向心力是由太阳对它们的引力提供的,由 |
练习册系列答案
相关题目
题目内容
一颗小行星绕太阳做匀速圆周运动的轨道半径是地球公转半径的4倍,则这颗小行星运行速率是地球运行速率的
A.4倍
B.2倍
C.0.5倍
D.16倍
|
小行星和地球绕太阳做圆周运动的向心力是由太阳对它们的引力提供的,由 |