题目内容
经长期观测,人们在宇宙中已经发现了“双星系统”.“双星系统”由两颗相距较近的恒星组成,每个恒星的线度远小于两个星体之间的距离,而且双星系统一般远离其他天体,如图所示,两颗星球组成的双星,在相互之间的万有引力作用下,绕连线上的O点做周期相同的匀速圆周运动.现测得两颗星之间的距离为L,质量之比为m1:m2=2:3,下列说法中正确的是( )A.m1、m2做圆周运动的线速度之比为3:2
B.m1、m2做圆周运动的角速度之比为3:2
C.m1做圆周运动的半径为
D.m2做圆周运动的半径为
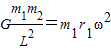
【答案】分析:双星靠相互间的万有引力提供向心力,具有相同的角速度.对m1:
,对m2:
.
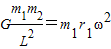
解答:解:双星靠相互间的万有引力提供向心力,具有相同的角速度,对m1:
,对m2:
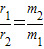
.得:m1r1=m2r2,
=
.所以r1=
,r2=
.又v=rω,所以线速度之比
.故A、D正确,B、C错误.
故选AD.
点评:解决本题的关键知道双星靠相互间的万有引力提供向心力,具有相同的角速度.以及会用万有引力提供向心力进行求解.
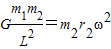
解答:解:双星靠相互间的万有引力提供向心力,具有相同的角速度,对m1:
故选AD.
点评:解决本题的关键知道双星靠相互间的万有引力提供向心力,具有相同的角速度.以及会用万有引力提供向心力进行求解.
练习册系列答案
相关题目