题目内容

如图所示,质量为m的飞机以水平速度飞离跑道后逐渐上升,若飞机在此过程中水平速度保持不变,同时受到重力和竖直向上的恒定升力(该升力由其他力的合力提供,不含重力).今测得当飞机在水平方向的位移为l时,它的上升高度为h.求:

(1)飞机受到的升力大小;

(2)从起飞到上升至h高度的过程中升力所做的功及在高度h处飞机的动能.

答案:略
解析:

(1)(2)

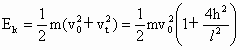
(1)飞机水平速度不变y方向加速度恒定,,由以上两式消去t,即得:,由牛顿第二定律

(2)升力做功,在h处,,故,或者由动能定理

,所以


练习册系列答案
相关题目

违法和不良信息举报电话:027-86699610 举报邮箱:58377363@163.com

精英家教网