题目内容
如图所示,倾角θ=30°、长L=2.7m的斜面,底端与一个光滑的1/4圆弧平滑连接,圆弧底端切线水平.一个质量为m=1kg的质点从斜面最高点A沿斜面下滑,经过斜面底端B恰好到达圆弧最高点C,又从圆弧滑回,能上升到斜面上的D点,再由D点由斜面下滑沿圆弧上升,再滑回,这样往复运动,最后停在B点.已知质点与斜面间的动摩擦因数为μ=(1)质点第1次经过B点时对圆弧轨道的压力;
(2)质点从A到D的过程中质点下降的高度;
(3)质点从开始到第6次经过B点的过程中因与斜面摩擦而产生的热量.
【答案】分析:(1)根据动能定理求出质点第一次到达B点的速度,结合牛顿第二定律和第三定律求出质点对圆弧轨道的压力.
(2)对AB段和BD段分别运用动能定理,求出BD的长度,从而得出质点从A到D的过程中质点下降的高度.
(3)分别对上滑过程和下滑过程运用动能定理,得出上滑的位移与下滑的位移的关系,从而找出规律,得出质点在斜面上运动的路程,通过Q=fs求出产生的热量.
解答:解:(1)设圆弧的半径为R,则质点从C到B过程,由
得:FN=3mg=3×1×10N=30N
根据牛顿第三定律,质点第1次经过B点对圆弧轨道的压力为30N.
(2)设质点第一次由B点沿斜面上滑的速度为υ1,B点到D点的距离为L1
代入数据解得:
=0.9m
则质点从A点到D点下降的高度h=0.9m
(3)设质点第2次由B点沿斜面上滑的速度为υ2,沿斜面上滑的距离为L2.则
得:
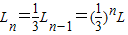
同理可推得:质点第n次由B点沿斜面上滑的距离Ln为
所以质点从开始到第6次经过B点的过程中,在斜面上通过的路程为
S=L+2(L1+L2)=5.1m
Q=μmgcos30°S=12.75J
答:(1)质点第1次经过B点时对圆弧轨道的压力为30N.
(2)质点从A到D的过程中质点下降的高度为0.9m.
(3)质点从开始到第6次经过B点的过程中因与斜面摩擦而产生的热量为12.75J.
点评:本题考查了考查了动能定理和牛顿第二定律,综合性较强,难度中等,关键是理清运动过程,选择合适的过程运用动能定理进行求解.
(2)对AB段和BD段分别运用动能定理,求出BD的长度,从而得出质点从A到D的过程中质点下降的高度.
(3)分别对上滑过程和下滑过程运用动能定理,得出上滑的位移与下滑的位移的关系,从而找出规律,得出质点在斜面上运动的路程,通过Q=fs求出产生的热量.
解答:解:(1)设圆弧的半径为R,则质点从C到B过程,由
得:FN=3mg=3×1×10N=30N
根据牛顿第三定律,质点第1次经过B点对圆弧轨道的压力为30N.
(2)设质点第一次由B点沿斜面上滑的速度为υ1,B点到D点的距离为L1
代入数据解得:
则质点从A点到D点下降的高度h=0.9m
(3)设质点第2次由B点沿斜面上滑的速度为υ2,沿斜面上滑的距离为L2.则
得:
同理可推得:质点第n次由B点沿斜面上滑的距离Ln为
所以质点从开始到第6次经过B点的过程中,在斜面上通过的路程为
S=L+2(L1+L2)=5.1m
Q=μmgcos30°S=12.75J
答:(1)质点第1次经过B点时对圆弧轨道的压力为30N.
(2)质点从A到D的过程中质点下降的高度为0.9m.
(3)质点从开始到第6次经过B点的过程中因与斜面摩擦而产生的热量为12.75J.
点评:本题考查了考查了动能定理和牛顿第二定律,综合性较强,难度中等,关键是理清运动过程,选择合适的过程运用动能定理进行求解.
练习册系列答案
相关题目