题目内容
如图所示,位于光滑水平桌面上的小滑块P和Q都可视作质点,质量均为m,Q与轻质弹簧相连.设Q静止,P以某一初速度v向Q运动并与弹簧发生碰撞,在压缩弹簧的整个碰撞过程中,求:(1)当弹簧压缩最短时Q的速度为多大?
(2)弹簧具有的最大弹性势能等于多少?
【答案】分析:弹簧在压缩的过程中P、Q和弹簧组成的系统动量守恒,可知当压缩最短时P和Q速度相等,根据动量守恒可以求出此时Q的速度为多少;同时在压缩过程中只有弹力做功,系统满足机械能守恒条件,系统的机械能守恒,即弹簧的最大弹性势能等于系统减少的动能.
解答:解:(1)P、Q通过弹簧发生碰撞,当两滑块速度相等时,弹簧压缩到最短,弹性势能最大,设此时共同速度为v,对P、Q(包括弹簧)组成的系统,由动量守恒定律有:
mv=(m+m)v
解得:
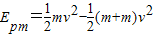
(2)在压缩弹簧的过程中,系统中只有弹簧弹力做功,系统满足机械能守恒条件即系统机械能守恒
所以弹簧增加的弹性势能等于系统减少的动能
即:
代入v=
可得:

答:(1)当弹簧压缩最短时Q的速度为
(2)弹簧具有的最大弹性势能等于
.
点评:能根据动量守恒条件判断系统动量守恒并能列式求解,能根据机械能守恒条件判断系统机械能守恒并列式求解是解决本题两问的关键.
解答:解:(1)P、Q通过弹簧发生碰撞,当两滑块速度相等时,弹簧压缩到最短,弹性势能最大,设此时共同速度为v,对P、Q(包括弹簧)组成的系统,由动量守恒定律有:
mv=(m+m)v
解得:
(2)在压缩弹簧的过程中,系统中只有弹簧弹力做功,系统满足机械能守恒条件即系统机械能守恒
所以弹簧增加的弹性势能等于系统减少的动能
即:
代入v=
答:(1)当弹簧压缩最短时Q的速度为
(2)弹簧具有的最大弹性势能等于
点评:能根据动量守恒条件判断系统动量守恒并能列式求解,能根据机械能守恒条件判断系统机械能守恒并列式求解是解决本题两问的关键.
练习册系列答案
相关题目