题目内容
某兴趣小组对一辆玩具遥控车的性能进行研究.他们让玩具遥控车在水平地面上由静止开始运动,通过数据处理得到如图所示的v-t图象,已知小车在0-ts内做匀加速直线运动;ts-10s内小车牵引力的功率保持不变,且7s-10s为匀速直线运动;在10s末停止遥控让小车自由滑行,小车质量m=1kg,整个过程中小车受到的阻力f大小不变.求:(1)小车所受阻力f的大小;
(2)在ts-10s内小车牵引力的功率P;
(3)小车在加速运动过程中的总位移S.
【答案】分析:(1)在10s末停止遥控让小车自由滑行过程,小车做匀减速运动,由速度图线求出加速度,根据牛顿第二定律求解阻力.
(2)ts-10s内小车牵引力的功率保持不变,7s-10s内,小车做匀速直线运动,牵引力与阻力平衡,小车牵引力的功率P=Fv.
(3)由图读出匀加速直线运动的末速度,此时小车达到额定功率,求出牵引力.由牛顿第二定律求出匀加速运动的加速度,由位移公式求出匀加速运动的位移.在0-7s内运用动能定理求解S.
解答:解:(1)在10s撤去牵引力后,小车只在阻力f作用下做匀减速运动,由图象可得减速时加速度大小为
α=|
|=|
|=2m/s2
根据牛顿第二定律得,阻力f=ma=2N
(2)7s-10s内,设牵引力为F,F=f,vm=6m/s,则P=Fvm=12w
ts-10s内小车牵引力的功率保持不变,故ts-10s内小车牵引力的功率P=12W.
(3)小车的加速运动过程可以分解为0-ts和ts-7s两段,由于ts时功率为12W,所以此时牵引力为
Ft=
=4N
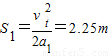
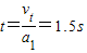
所以0-ts内α1=
=2m/s2
则
;

在0-7s内由动能定理可得:

代入数据,解得S=28.5m
答:
(1)小车所受阻力f的大小为4N;
(2)在ts-10s内小车牵引力的功率P=12W;
(3)小车在加速运动过程中的总位移S=28.5m.
点评:本题首先对小车的运动过程进行正确分析,其次要选择恰当的规律求解.对于ts-10s内小车变加速运动过程,不能用运动学公式求位移,只能从能量的角度求位移.
(2)ts-10s内小车牵引力的功率保持不变,7s-10s内,小车做匀速直线运动,牵引力与阻力平衡,小车牵引力的功率P=Fv.
(3)由图读出匀加速直线运动的末速度,此时小车达到额定功率,求出牵引力.由牛顿第二定律求出匀加速运动的加速度,由位移公式求出匀加速运动的位移.在0-7s内运用动能定理求解S.
解答:解:(1)在10s撤去牵引力后,小车只在阻力f作用下做匀减速运动,由图象可得减速时加速度大小为
α=|
根据牛顿第二定律得,阻力f=ma=2N
(2)7s-10s内,设牵引力为F,F=f,vm=6m/s,则P=Fvm=12w
ts-10s内小车牵引力的功率保持不变,故ts-10s内小车牵引力的功率P=12W.
(3)小车的加速运动过程可以分解为0-ts和ts-7s两段,由于ts时功率为12W,所以此时牵引力为
Ft=
所以0-ts内α1=
则
在0-7s内由动能定理可得:
代入数据,解得S=28.5m
答:
(1)小车所受阻力f的大小为4N;
(2)在ts-10s内小车牵引力的功率P=12W;
(3)小车在加速运动过程中的总位移S=28.5m.
点评:本题首先对小车的运动过程进行正确分析,其次要选择恰当的规律求解.对于ts-10s内小车变加速运动过程,不能用运动学公式求位移,只能从能量的角度求位移.
练习册系列答案
相关题目