题目内容
船在静水中的速度与时间的关系如图甲所示,河水的流速与船离河岸的距离的变化关系如图乙所示,则( )A.船渡河的最短时间60s
B.要使船以最短时间渡河,船在行驶过程中,船头必须始终与河岸垂直
C.船在河水中航行的轨迹是一条直线
D.船在河水中的最大速度是5m/s
【答案】分析:1.合运动与分运动定义:如果物体同时参与了两种运动,那么物体实际发生的运动叫做那两种运动的合运动,那两种运动叫做这个实际运动的分运动.
2.在一个具体问题中判断哪个是合运动,哪个是分运动的关键是弄清物体实际发生的运动是哪个,则这个运动就是合运动.物体实际发生的运动就是物体相对地面发生的运动,或者说是相对于地面上的观察者所发生的运动.
3.相互关系
①独立性:分运动之间是互不相干的,即各个分运动均按各自规律运动,彼此互不影响.因此在研究某个分运动的时候,就可以不考虑其他的分运动,就像其他分运动不存在一样.
②等时性:各个分运动及其合运动总是同时发生,同时结束,经历的时间相等;因此,若知道了某一分运动的时间,也就知道了其他分运动及合运动经历的时间;反之亦然.
③等效性:各分运动叠加起来的效果与合运动相同.
④相关性:分运动的性质决定合运动的性质和轨迹.
本题船实际参与了两个分运动,沿水流方向的分运动和沿船头指向的分运动,当船头与河岸垂直时,渡河时间最短,船的实际速度为两个分运动的合速度,根据分速度的变化情况确定合速度的变化情况.
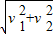
解答:解:A、当船头与河岸垂直时,渡河时间最短,由乙图可知河宽为300m
t=
=
s=100s,故A错误.
B、船的合运动时间等于各个分运动的时间,沿船头方向分运动时间为t=
,当x1最小时,t最小,当船头与河岸垂直时,x1有最小值,等于河宽d,故要使船以最短时间渡河,船在行驶过程中,船头必须始终与河岸垂直,因而B正确;
C、由于随水流方向的分速度不断变化,故合速度的大小和方向也不断变化,船做曲线运动,故C错误;
D、当v2取最大值3m/s时,合速度最大
v=
=5m/s,故D正确;
故选BD.
点评:本题关键找到船参加的两个分运动,然后运用合运动与分运动的等时和等效规律进行研究,同时要注意合运动与分运动互不干扰.
2.在一个具体问题中判断哪个是合运动,哪个是分运动的关键是弄清物体实际发生的运动是哪个,则这个运动就是合运动.物体实际发生的运动就是物体相对地面发生的运动,或者说是相对于地面上的观察者所发生的运动.
3.相互关系
①独立性:分运动之间是互不相干的,即各个分运动均按各自规律运动,彼此互不影响.因此在研究某个分运动的时候,就可以不考虑其他的分运动,就像其他分运动不存在一样.
②等时性:各个分运动及其合运动总是同时发生,同时结束,经历的时间相等;因此,若知道了某一分运动的时间,也就知道了其他分运动及合运动经历的时间;反之亦然.
③等效性:各分运动叠加起来的效果与合运动相同.
④相关性:分运动的性质决定合运动的性质和轨迹.
本题船实际参与了两个分运动,沿水流方向的分运动和沿船头指向的分运动,当船头与河岸垂直时,渡河时间最短,船的实际速度为两个分运动的合速度,根据分速度的变化情况确定合速度的变化情况.
解答:解:A、当船头与河岸垂直时,渡河时间最短,由乙图可知河宽为300m
t=
B、船的合运动时间等于各个分运动的时间,沿船头方向分运动时间为t=
C、由于随水流方向的分速度不断变化,故合速度的大小和方向也不断变化,船做曲线运动,故C错误;
D、当v2取最大值3m/s时,合速度最大
v=
故选BD.
点评:本题关键找到船参加的两个分运动,然后运用合运动与分运动的等时和等效规律进行研究,同时要注意合运动与分运动互不干扰.
练习册系列答案
相关题目
| A、船渡河的最短时间60s | B、要使船以最短时间渡河,船在行驶过程中,船头必须始终与河岸垂直 | C、船在河水中航行的轨迹是一条直线 | D、船在河水中的最大速度是7m/s |
船在静水中的速度与时间的关系如图甲所示,河水的流速与船离河岸的距离的变化关系如图乙所示,则当船沿渡河时间最短的路径渡河时( )![]()
| A.船渡河的最短时间60s |
| B.要使船以最短时间渡河,船在行驶过程中,船头必须始终与河岸垂直 |
| C.船在河水中航行的轨迹是一条直线 |
| D.船在河水中的最大速度是5m/s |