题目内容
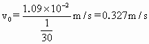
小球做平抛运动的闪光照片的一部分如图所示,图中每一小格边长为1.09cm,闪光的快慢为每秒30次,根据此图计算小球平抛运动的初速度为_________m/s,当地的重力加速度为________
.
![]()
答案:0.327,9.81
解析:
解析:
|
水平方向
|
练习册系列答案
相关题目
题目内容
小球做平抛运动的闪光照片的一部分如图所示,图中每一小格边长为1.09cm,闪光的快慢为每秒30次,根据此图计算小球平抛运动的初速度为_________m/s,当地的重力加速度为________
.
![]()
|
水平方向
|