题目内容

物体A的质量M=1kg,静止在光滑水平面上的平板车B的质量为m=0.5kg、长L=1m.某时刻A以v=4m/s向右的初速度滑上木板B的上表面,在A滑上B的同时,给B施加一个水平向右的拉力.忽略物体A的大小,已知A与B之间的动摩擦因数µ=0.2,取重力加速度g=10m/s2.试求:
(1)若F=5N,物体A在小车上运动时相对小车滑行的最大距离;
(2)如果要使A不至于从B上滑落,拉力F大小应满足的条件.
【答案】分析:首先分析物体A和车的运动情况:A相对于地做匀减速运动,车相对于地做匀加速运动.开始阶段,A的速度大于车的速度,则A相对于车向右滑行,当两者速度相等后,A相对于车静止,则当两者速度相等时,物体A在小车上运动时相对小车滑行的最大距离.由牛顿第二定律和运动学公式结合,以及速度相等的条件,分别求出A与车相对于地的位移,两者之差等于A在小车上运动时相对小车滑行的最大距离.
    要使A不从B上滑落,是指既不能从B的右端滑落,也不能左端滑落.物体A不从右端滑落的临界条件是A到达B的右端时,A、B具有共同的速度,根据牛顿第二定律和运动学公式结合,以及速度相等的条件,可求出此时F,为F的最小值.物体A不从左端滑落的临界条件是A到达B的左端时,A、B具有共同的速度,可求出此时F的最大值,综合得到F的范围.
解答:解:(1)物体A滑上木板B以后,作匀减速运动,有µMg=MaA  得aA=µg=2 m/s2
木板B作加速运动,有F+µMg=maB,得:aB=14 m/s2    
两者速度相同时,有V-aAt=aBt,得:t=0.25s
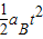
A滑行距离:SA=Vt-=m
B滑行距离:SB==m
最大距离:△s=SA-SB=0.5m
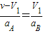
(2)物体A不滑落的临界条件是A到达B的右端时,A、B具有共同的速度v1
则:…①又:…②
由①、②式,可得:aB=6m/s2   F=maB-µMg=1N
若F<1N,则A滑到B的右端时,速度仍大于B的速度,于是将从B上滑落,所以F必须大于等于1N.
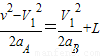
当F较大时,在A到达B的右端之前,就与B具有相同的速度,之后,A必须相对B静止,才不会从B的左端滑落.
即有:F=(m+M)a,µMg=ma 所以:F=3N
若F大于3N,A就会相对B向左滑下.综上:力F应满足的条件是:1N≤F≤3N
答:(1)若F=5N,物体A在小车上运动时相对小车滑行的最大距离为0.5m.
    (2)要使A不至于从B上滑落,拉力F大小应满足的条件是1N≤F≤3N
点评:牛顿定律和运动公式结合是解决力学问题的基本方法,这类问题的基础是分析物体的受力情况和运动情况,难点在于分析临界状态,挖掘隐含的临界条件.
练习册系列答案
相关题目
(1)绕固定轴转动的物体也有动能,称为转动动能,其表达式为EK=
1
2
Iω2
,其中ω为物体转动的角速度,I称为转动惯量.某人利用下面的实验如图1来测量一个均匀圆盘绕其
中心轴转动的转动惯量.用一根光滑的轴穿过待测圆盘中心,将圆盘悬挂起来,在其边缘上用轻细线缠绕若干圈,线的一端固定在盘的边缘,另一端连接一个物块,让物块由静止开始下落.已知下落过程中物块做匀加速运动,当地的重力加速度为g.
①实验中,除了用米尺和秒表分别测量物块从静止下落的高度h和对应的时间t外,还需要测定的物理量是
AC
AC

A.物块的质量m   B.圆盘的质量M    C.圆盘的半径R     D.物块下落h高度时的速度v
②用h、t和你在①中所选择的物理量表达转动惯量的表达式为I=
mR2(gt2-2h)
2h
mR2(gt2-2h)
2h

③由于物块下落过程中存在摩擦,实际上上述实验所测得的转动惯量与真实值比较
A
A

A.偏大         B.偏小          C.摩擦力不影响测量
(2)某实验室提供的实验器材如下:
A.一节干电池E(电动势1.5V,内阻约0.5Ω)
B.一个电压表V(量程0~1V,内阻约1KΩ)
C.一个电流表mA(量程0~4mA,内阻在60Ω~90Ω之间)
D.一个定值电阻R0(电阻200Ω,允许通过的最大电流为0.5A)
E.一个滑动变阻器R(电阻0~10Ω,允许通过的最大电流为1A)
F.一个单刀单掷开关S,导线若干
为了扩大其中电流表mA的量程,需要先测量出电流表的内阻.为此,某同学根据提供的器材设计了一种利用伏安法进行测量的较为合理的电路,并在实验中正确操作,测出了几组数据,作出了电压表的示数U和电流表的示数I的关系图线,如图2.
①请你根据提供的器材和该同学的测量数据在如图3虚线框中画出该同学设计的实验电路图(需要标注个元件的符号)
②该同学测出的mA表的内阻为
85.7
85.7
Ω(结果保留三位有效数字)
实验题:
(1)在探究物体的加速度a与物体所受外力F、物体质量M间的关系时,采用如图1所示的实验装置.小车及车中的砝码质量用M表示,盘及盘中的砝码质量用m表示.
①当M与m的大小关系满足
m<<M
m<<M
时,才可以认为绳子对小车的拉力大小等于盘和砝码的重力.
②某一组同学先保持盘及盘中的砝码质量m一定来做实验,其具体操作步骤如下,以下做法正确的是
B
B

A.平衡摩擦力时,应将盘及盘中的砝码用细绳通过定滑轮系在小车上
B.每次改变小车的质量时,不需要重新平衡摩擦力
C.实验时,先放开小车,再接通打点计时器的电源
D.用天平测出m以及小车质量M,小车运动的加速度可直接用公式a=
mg
M
求出
③另两组同学保持小车及车中的砝码质量M一定,探究加速度a与所受外力F的关系,由于他们操作不当,这两组同学得到的a-F关系图象分别如图2和图3所示,其原因分别是:
图1:
小车质量M没有远大于盘及盘中砝码的质量m
小车质量M没有远大于盘及盘中砝码的质量m

图2:
没有平衡摩擦力或平衡摩擦力不足
没有平衡摩擦力或平衡摩擦力不足

(2)为较精确地测量一只微安表的内阻,要求按照图4给出的电路进行测量.实验室中可供选择的器材如右表所示.实验中为了安全,电阻箱R的阻值不能取为零,只能为适当大小的阻值.则:
器      材 规      格
待测微安表 量程200μA,内阻约1kΩ
电阻箱R 阻值1Ω~9999Ω
滑动变阻器R1 阻值0~50Ω
滑动变阻器R2 阻值0~1kΩ
电源 电动势6V,内阻不计
电键一只、导线若干
①实验中滑动变阻器应选用
R1
R1

②将实物图如图5连成实验电路.      
③简述所需测量和记录的物理量:
R1、I1;R2、I2
R1、I1;R2、I2

④用这些物理量表示内阻的测量值:
r=
I2R2-I1R1
I1-I2
r=
I2R2-I1R1
I1-I2

违法和不良信息举报电话:027-86699610 举报邮箱:58377363@163.com

精英家教网