题目内容
一架喷气式飞机,质量m=5.0×103kg,起飞过程中从静止开始滑跑的路程为s=5.0×102m时,达到起飞速度 v=60m/s.在此过程中飞机受到的平均阻力是飞机重量的0.02倍(k=0.02),求飞机受到的牵引力.(取g=10m/s2)
【答案】分析:已知飞机的初速度,末速度,位移,及受力情况,要求飞机的牵引力,可直接运用动能定理解出牵引力做的功,再根据做功的公式求出牵引力.
解答:解:以飞机为研究对象,它受到重力、支持力、牵引力和阻力作用,这四个力做的功分别为WG=0,W支=0,W牵=Fs,W阻=-kmgs,
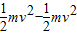
根据动能定理得:Fs-kmgs=
代入数据得:F=1.9×104N
答:飞机受到的牵引力为1.9×104N.
点评:在不涉及到具体的运动过程或求变力做功时,运用动能定理解题比较简洁、方便.
解答:解:以飞机为研究对象,它受到重力、支持力、牵引力和阻力作用,这四个力做的功分别为WG=0,W支=0,W牵=Fs,W阻=-kmgs,
根据动能定理得:Fs-kmgs=
代入数据得:F=1.9×104N
答:飞机受到的牵引力为1.9×104N.
点评:在不涉及到具体的运动过程或求变力做功时,运用动能定理解题比较简洁、方便.
练习册系列答案
相关题目