题目内容
一辆汽车在4s内做匀加速直线运动,初速为2m/s,末速为10m/s,在这段时间内( )A.汽车的加速度为2m/s2
B.汽车的加速度为8m/s2
C.汽车的平均速度为6m/s
D.汽车的平均速度为10m/s
【答案】分析:本题很简单,直接考查了匀变速直线运动中加速度的定义式和平均速度公式,直接代入公式求解即可.
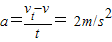
解答:解:由于是匀加速直线运动,因此初末速度方向相同,所以有

平均速度为:
,故BD错误,AC正确.
故选AC.
点评:本题考查了匀变速直线运动中的基本公式应用,对于这些公式要明确公式使用条件以及公式中各个物理量的含义,尤其注意其矢量性.
解答:解:由于是匀加速直线运动,因此初末速度方向相同,所以有
平均速度为:
故选AC.
点评:本题考查了匀变速直线运动中的基本公式应用,对于这些公式要明确公式使用条件以及公式中各个物理量的含义,尤其注意其矢量性.
练习册系列答案
相关题目
一辆汽车在4s内做匀加速直线运动,初速度为2m/s,末速度为10m/s,这段时间内( )
| A、汽车的加速度为2m/s2 | B、汽车的加速度为8m/s2 | C、汽车的平均速度为3m/s | D、汽车的位移为24m |
一辆汽车在4s内做匀加速直线运动,初速为2m/s,末速为10m/s,在这段时间内( )
| A、汽车的加速度为2m/s2 | B、汽车的加速度为8m/s2 | C、汽车的位移为40m | D、汽车的平均速度为10m/s |