ÌâÄ¿ÄÚÈÝ

£¨6·Ö£© ÔÚ¡°Ì½¾¿ºãÁ¦×ö¹¦Ó붯ÄܸıäµÄ¹ØÏµ¡±ÊµÑéÖУ¬Ä³ÊµÑéС×é²ÉÓÃÈçͼ¼×ËùʾµÄ×°Öã®

ʵÑé²½ÖèÈçÏ£º

¢Ù°ÑÖ½´øµÄÒ»¶Ë¹Ì¶¨ÔÚС³µµÄºóÃæ£¬ÁíÒ»¶Ë´©¹ý´òµã¼ÆÊ±Æ÷

¢Ú¸Ä±äľ°åµÄÇã½Ç£¬ÒÔÖØÁ¦µÄÒ»¸ö·ÖÁ¦Æ½ºâС³µ¼°Ö½´øÊܵ½µÄĦ²ÁÁ¦

¢ÛÓÃϸÏß½«Ä¾°åÉϵÄС³µÍ¨¹ýÒ»¸ö¶¨»¬ÂÖÓëÐüµõµÄɰͰÏàÁ¬

¢Ü½Óͨµç£¬·Å¿ªÐ¡³µ£¬ÈÃС³µÍÏ×ÅÖ½´øÔ˶¯£¬´òµã¼ÆÊ±Æ÷¾ÍÔÚÖ½´øÉÏ´òÏÂһϵÁеĵ㣬²â³ö¡¢¡¢£¨ÈçͼÒÒËùʾ£©£¬²éµÃ´òµãÖÜÆÚΪT£®ÅжÏÖØÁ¦µÄÒ»¸ö·ÖÁ¦ÒÑÓëС³µ¼°Ö½´øÊܵ½µÄĦ²ÁÁ¦Æ½ºâµÄÖ±½ÓÖ¤¾ÝÊÇ¿´Ö½´øÉϵÄÏàÁÚÁ½µãµÄ¼ä¾à            ¡£ÊµÑ黹ÐèÖ±½Ó²âÁ¿µÄÎïÀíÁ¿ÊÇ£º                 £®£¨²¢ÓÃÏàÓ¦µÄ·ûºÅ±íʾ£©Ì½¾¿½á¹ûµÄ±í´ïʽÊÇ£º                  £®£¨ÓÃÏàÓ¦µÄ·ûºÅ±íʾ£©

 

¡¾´ð°¸¡¿

ÏàµÈ£¬Ð¡³µµÄÖÊÁ¿M¡¢É°¼°É°Í°µÄÖÊÁ¿m ,

¡¾½âÎö¡¿

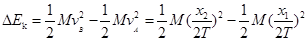
ÊÔÌâ·ÖÎö£ºÈç¹ûÒѾ­Æ½ºâºÃĦ²ÁÁ¦£¬Ôò´ËʱС³µ×öÔÈËÙÔ˶¯£¬Ö½´øÉϵ㼣¼ä¾àÓ¦¸ÃÏàµÈ£®±¾Ì⡰̽¾¿ºãÁ¦×ö¹¦Ó붯ÄܸıäµÄ¹ØÏµ¡±£¬ÔòÒªÖªµÀºãÁ¦µÄ´óС£¬ºÍС³µµÄ¶¯ÄÜ£¬ËùÒÔÒª²âÁ¿Ð¡³µµÄÖÊÁ¿M¡¢É°¼°É°Í°µÄÖÊÁ¿m,ºÏÍâÁ¦¶ÔС³µ×öµÄ¹¦Îª£¬Ð¡³µ´ÓAÔ˶¯µ½B¶¯Äܵı仯Á¿,ºÏÍâÁ¦Ëù×öµÄ¹¦µÈÓÚС³µ¶¯Äܵı仯Á¿£¬¼´,ËùÒÔ̽¾¿½á¹ûµÄ±í´ïʽÊÇ:

¿¼µã£ºÌ½¾¿¹¦ÓëËٶȱ仯µÄ¹ØÏµ£®

 

Á·Ï°²áϵÁдð°¸
Ïà¹ØÌâÄ¿
£¨1£©ÔÚ¡°Ì½¾¿ºãÁ¦×ö¹¦Ó붯ÄܸıäµÄ¹ØÏµ¡±ÊµÑéÖУ¬Ä³ÊµÑéС×é²ÉÓÃÈçͼ¼×ËùʾµÄ×°Öã®ÊµÑé²½ÖèÈçÏ£º
¢Ù°ÑÖ½´øµÄÒ»¶Ë¹Ì¶¨ÔÚС³µµÄºóÃæ£¬ÁíÒ»¶Ë´©¹ý´òµã¼ÆÊ±Æ÷
¢Ú¸Ä±äľ°åµÄÇã½Ç£¬ÒÔÖØÁ¦µÄÒ»¸ö·ÖÁ¦Æ½ºâС³µ¼°Ö½´øÊܵ½µÄĦ²ÁÁ¦
¢ÛÓÃϸÏß½«Ä¾°åÉϵÄС³µÍ¨¹ýÒ»¸ö¶¨»¬ÂÖÓëÐüµõµÄɰͰÏàÁ¬
¢Ü½ÓͨµçÔ´£¬·Å¿ªÐ¡³µ£¬ÈÃС³µÍÏ×ÅÖ½´øÔ˶¯£¬´òµã¼ÆÊ±Æ÷¾ÍÔÚÖ½´øÉÏ´òÏÂһϵÁеĵã
¢Ý²â³ös¡¢s1¡¢s2£¨ÈçͼÒÒËùʾ£©£¬²éµÃ´òµãÖÜÆÚΪT£®

ÅжÏÖØÁ¦µÄÒ»¸ö·ÖÁ¦ÊÇ·ñÒÑÓëС³µ¼°Ö½´øÊܵ½µÄĦ²ÁÁ¦Æ½ºâµÄÖ±½ÓÖ¤¾ÝÊÇ
Ö½´øÉϵ㼣¼ä¾àÏàµÈ
Ö½´øÉϵ㼣¼ä¾àÏàµÈ
£»
±¾ÊµÑ黹ÐèÖ±½Ó²âÁ¿µÄÎïÀíÁ¿ÊÇ£º
С³µµÄÖÊÁ¿M¡¢É°Í°µÄÖÊÁ¿m
С³µµÄÖÊÁ¿M¡¢É°Í°µÄÖÊÁ¿m
£®£¨²¢ÓÃÏàÓ¦µÄ·ûºÅ±íʾ£©
̽¾¿½á¹ûµÄ±í´ïʽÊÇ
mgs=
M
8T2
(
s
2
2
-
s
2
1
)
mgs=
M
8T2
(
s
2
2
-
s
2
1
)
£®£¨ÓÃÏàÓ¦µÄ·ûºÅ±íʾ£©
£¨2£©¡¢´ÓÏÂÃæ¸ø¶¨µÄÆ÷²ÄÖÐÑ¡³öÊʵ±µÄʵÑéÆ÷²Ä£¨ÓÐЩÆ÷²ÄµÄ×èÖµÊÇ´óÔ¼Öµ£¬ÓÐЩÆ÷²ÄµÄ×èÖµÊÇ׼ȷֵ£©£®Éè¼ÆÒ»¸ö²âÁ¿×èÖµRxԼΪ15k¦¸µÄµç×èµÄµç·£¬ÒªÇó·½·¨¼ò½Ý£¬Òª¾¡¿ÉÄÜÌá¸ß²âÁ¿µÄ¾«¶È£®
µçÁ÷±íA1£¬Á¿³Ì1mA£¬ÄÚ×èrA1¡Ö50¦¸
µçÁ÷±íA2£¬Á¿³Ì300¦ÌA£¬ÄÚ×èrA2¡Ö300¦¸
µçÁ÷±íA3£¬Á¿³Ì100¦ÌA£¬ÄÚ×èrA3¡Ö500¦¸
µçѹ±íV1£¬Á¿³Ì10V£¬ÄÚ×èrV1=15k¦¸
µçѹ±íV2£¬Á¿³Ì3V£¬ÄÚ×èrV2=10k¦¸
»¬¶¯±ä×èÆ÷R1£¬È«×èÖµ50¦¸£¬¶î¶¨µçÁ÷Ϊ1A
µç³Ø×飬µç¶¯ÊÆ3V£¬ÄÚ×èºÜСµ«²»ÄܺöÂÔ¿ª¹Ø¼°µ¼ÏßÈô¸É
¢Ù²âÁ¿µç·ÖеçÁ÷±íӦѡ
A2
A2
£¬µçѹ±íӦѡ
V2
V2
£¨Ìî´úºÅ£©
¢ÚÔÚͼËùʾµÄÐéÏß¿òÖл­³ö²âÁ¿RxµÄµç·ͼ£®

¢ÛÔÚËù²âÁ¿Êý¾ÝÖÐѡһ×éÊý¾Ý¼ÆËãRx£¬¼ÆËã±í´ïʽRx=
U2
I2-
U2
rv2
U2
I2-
U2
rv2
£¬±í´ïʽÖи÷·ûºÅ±íʾµÄÒâÒå
U2±íʾµçѹ±íV2µÄʾÊý£¬I2±íʾµçÁ÷A2µÄʾÊý£®rV2±íʾµçѹ±íV2µÄÄÚ×è
U2±íʾµçѹ±íV2µÄʾÊý£¬I2±íʾµçÁ÷A2µÄʾÊý£®rV2±íʾµçѹ±íV2µÄÄÚ×è
£®
£¨2011?¿ª·âһ죩£¨1£©ÔÚ¡°Ì½¾¿ºãÁ¦×ö¹¦Ó붯ÄܸıäµÄ¹ØÏµ¡±ÊµÑéÖУ¬Ä³Í¬Ñ§²ÉÓÃͼ1ËùʾװÖõÄʵÑé·½°¸£¬ËûÏëÓÃɳºÍɳͰµÄ×ÜÖØÁ¦±íʾС³µÊܵ½µÄºÏÍâÁ¦£¬ÎªÁ˼õСÕâÖÖ×ö·¨´øÀ´µÄʵÑéÎó²î£¬Ëûʹ³¤Ä¾°å×ó¶Ȩ̈ÆðÒ»¸öºÏÊʵĽǶȣ¬Æ½ºâĦ²ÁÁ¦£®ÄãÈÏΪÔÚʵÑéÖл¹Ó¦¸Ãʹ
С³µÖÊÁ¿Ô¶´óÓÚɳºÍɳͰµÄ×ÜÖÊÁ¿£®
С³µÖÊÁ¿Ô¶´óÓÚɳºÍɳͰµÄ×ÜÖÊÁ¿£®

Èçͼ2ËùʾÊÇij´ÎʵÑéÖеõ½µÄÒ»ÌõÖ½´ø£¬ÆäÖÐA¡¢B¡¢C¡¢D¡¢E¡¢FÊǼÆÊýµã£¬ÏàÁÚ¼ÆÊýµã¼äµÄʱ¼äÎʸôΪT£¬¾àÀëÈçͼ£®Ôò´òCµãʱС³µµÄËٶȱí´ïʽΪ£¨ÓÃÌâÖÐËù¸øÎïÀíÁ¿±íʾ£©
¡÷x2+¡÷x3
2T
¡÷x2+¡÷x3
2T
£»ÒªÑéÖ¤ºÏÍâÁ¦µÄ¹¦Ó붯Äܱ仯¼äµÄ¹ØÏµ£¬³ýÁËÒª²âÁ¿É³ºÍɳͰµÄ×ÜÖØÁ¦¡¢²âÁ¿Ð¡³µµÄÎ»ÒÆ¡¢ËÙ¶ÈÍ⣬»¹Òª²â³öµÄÎïÀíÁ¿ÓÐ
С³µÖÊÁ¿
С³µÖÊÁ¿
£®

£¨2£©ÓÃÉÏÃæµÄ×°ÖÃÒ²¿ÉÒÔ×ö¡°Ì½¾¿¼ÓËÙ¶ÈÓëÁ¦¡¢ÖÊÁ¿µÄ¹ØÏµ¡±µÄʵÑ飬ÒÔÏÂÊÇijһʵÑéС×é¼Ç¼µÄ²¿·ÖʵÑéÊý¾Ý£®ÏýÄã¸ù¾Ý±í¸ñÖÐÊý¾Ý£®ÔÚÈçͼÖÐÈ¡ºÏÊʵÄ×ø±êϵ×÷ͼÏó£¬Ñ°ÕÒ¼ÓËٶȺÍÖÊÁ¿µÄ¹ØÏµ£®
ËûÃÇʵÑéʱɳºÍɳͰµÄÖÊÁ¿Ê¼ÖÕûÓб仯£®
´ÎÊý С³µÖÊÁ¿M/g ¼ÓËÙ¶È
1
M
/kg-1
1 200 1.91 5.00
2 250 1.71 4.00
3 300 1.50 3.33
4 350 1.32 2.86
5 400 1.12 2.50
6 450 1.00 2.22
7 500 0.90 2.00
¸ù¾ÝͼÏóÅжϣ¬ÊµÑé²úÉúÎó²îµÄ×îÖ÷ÒªÔ­ÒòÊÇ£º
δÄÜÂú×ãС³µÖÊÁ¿Ô¶´óÓÚɳºÍɰͰµÄ×ÜÖÊÁ¿£®
δÄÜÂú×ãС³µÖÊÁ¿Ô¶´óÓÚɳºÍɰͰµÄ×ÜÖÊÁ¿£®
£®

Î¥·¨ºÍ²»Á¼ÐÅÏ¢¾Ù±¨µç»°£º027-86699610 ¾Ù±¨ÓÊÏ䣺58377363@163.com

¾«Ó¢¼Ò½ÌÍø