题目内容
以水平速度v抛出一球(只受重力),某时刻其位移与水平方向成45°,以下判断正确的是( )A.竖直分速度等于水平分速度
B.此时球的速度大小为
C.运动的时间为
D.运动的位移是
【答案】分析:平抛运动在水平方向上做匀速直线运动,在竖直方向上做自由落体运动,根据位移与水平方向的夹角,得出运动的时间,从而得知水平分速度和竖直分速度以及得出水平位移和合位移.
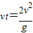
解答:解:A、位移与水平方向成45°,有x=y,即
,则
.则竖直分速度vy=gt=2v.水平分速度不等于竖直分速度.故A错误,C正确.
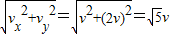
B、v=
.故B错误.
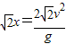
C、水平位移x=
,则小球运动的位移s=
.故D错误.
故选C.
点评:解决本题的关键知道平抛运动在水平方向上做匀速直线运动,在竖直方向上做自由落体运动,掌握两个分运动的规律.
解答:解:A、位移与水平方向成45°,有x=y,即
B、v=
C、水平位移x=
故选C.
点评:解决本题的关键知道平抛运动在水平方向上做匀速直线运动,在竖直方向上做自由落体运动,掌握两个分运动的规律.
练习册系列答案
相关题目