ÌâÄ¿ÄÚÈÝ
Èçͼ£¬xÖáÔÚˮƽµØÃæÉÏ£¬yÖáÊúÖ±ÏòÉÏ£¬ÔÚyÖáÉϵÄPµã·Ö±ðÑØxÖáÕý·½ÏòºÍyÖáÕý·½ÏòÒÔÏàͬ´óСµÄ³õËÙ¶ÈÅ׳öÁ½¸öСÇòaºÍb£¬¹ì¼£Èçͼ£¬²»¼Æ¿ÕÆø×èÁ¦£¬ÈôbÉÏÐеÄ×î´ó¸ß¶ÈµÈÓÚPµãÀëµØµÄ¸ß¶È£¬Ôò´ÓÅ׳öµ½Â䵨£¬ÓУ¨ £©
![]()
A£®aµÄÔ˶¯Ê±¼äÊÇbµÄÔ˶¯Ê±¼äµÄ£¨
£©±¶
B£®aµÄÎ»ÒÆ´óСÊÇbµÄÎ»ÒÆ´óСµÄ
±¶
C£®a¡¢bÂäµØÊ±µÄËÙ¶ÈÏàͬ£¬Òò´Ë¶¯ÄÜÒ»¶¨Ïàͬ
D£®a¡¢bÂäµØÊ±µÄËٶȲ»Í¬£¬µ«¶¯ÄÜÒ»¶¨Ïàͬ
¡¾´ð°¸¡¿
AD
¡¾½âÎö¡¿
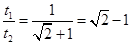
ÊÔÌâ·ÖÎö£ºaµÄÔ˶¯Ê±¼äΪ
£¬bµÄÔ˶¯Ê±¼äΪ£º
£¬ËùÒÔ
£¬AÕýÈ·£»aµÄÎ»ÒÆÎªh,bµÄÎ»ÒÆÎª£º
£¬ÓÖÓÐ
£¬
£¬ÁªÁ¢½âµÃ£º
£¬B´íÎó£»Á½¸ö¹ý³ÌÖØÁ¦×ö¹¦Ïàͬ£¬Óɶ¯Äܶ¨Àí¿ÉÖªÂäµØÊ±µÄ¶¯ÄÜÏàͬ£¬µ«ËÙ¶È·½Ïò²»Í¬£¬ËٶȲ»Í¬£¬C´íÎó,DÕýÈ·¡£
¿¼µã£º±¾Ì⿼²éÁËÅ×ÌåÔ˶¯ºÍ¶¯Äܶ¨Àí
Á·Ï°²áϵÁдð°¸
Ïà¹ØÌâÄ¿
£¨¡¡¡¡£©
| A¡¢ta£¾tb£¾tc | B¡¢ta£¼tb=tc | C¡¢va£¾vb=vc | D¡¢va£¼vb£¼vc |
| A¡¢aµÄ·ÉÐÐʱ¼ä±ÈbµÄ³¤ | B¡¢bºÍcµÄ·ÉÐÐʱ¼äÏàͬ | C¡¢ÔÚ¿ÕÖзÉÐÐʱabcµÄ»úеÄܶ¼Êغã | D¡¢bµÄ³õËٶȱÈaµÄ´ó |