题目内容
有一星体与地球都是球体,其质量之比
,其半径之比
,已知地球表面的重力加速度为g,那么离该星体表面
高处的重力加速度
大小为
[ ]
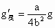
A.
B.
C.
D.
答案:D
解析:
解析:
|
在星体的表面处,重力等于万有引力,由 |
练习册系列答案
相关题目
题目内容
有一星体与地球都是球体,其质量之比
,其半径之比
,已知地球表面的重力加速度为g,那么离该星体表面
高处的重力加速度
大小为
[ ]
|
在星体的表面处,重力等于万有引力,由 |