题目内容

有一质量为m的航天器靠近地球表面绕地球作圆周运动(轨道半径等于地球半径),某时刻航天器启动发动机,在很短的时间内动能变为原来的,此后轨道为椭圆,远地点与近地点距地心的距离之比是2∶1,经过远地点和经过近地点的速度之比为1∶2.己知地球半径为R,地球质量为M,万有引力恒量为G.

(1)求航天器靠近地球表面绕地球作圆周运动时的动能;

(2)在从近地点运动到远地点的过程中克服地球引力所做的功为多少?

答案:
解析:

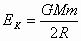
  解:(1)(2分)

  (1分)

  (1分)

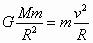
  (2)(2分)

  (1分)(1分)

  (1分)

  克服地球引力所做的功为  (1分)


练习册系列答案
相关题目

违法和不良信息举报电话:027-86699610 举报邮箱:58377363@163.com

精英家教网