题目内容

如图所示,一束电子以不同速率沿图示水平方向飞入横截面是一正方形的匀强磁场,只考虑洛仑兹力作用,下列说法正确的是

A.电子在磁场中运动时间越长,其轨迹线所对应的圆心角越大

B.电子的速率不同,它们在磁场中运动时间一定不相同

C.电子在磁场中运动时间越长,其轨迹线越长

D.在磁场中运动时间相同的电子,其轨迹线一定重合

 

【答案】

A

【解析】

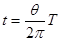
试题分析:电子在磁场中的运动时间为,可见运动时间与圆心角成正比,A正确;对3、4、5三条轨迹,运动时间都为半个周期,时间相同,但粒子速度是不同的,半径不同,BCD错误.

考点:带电粒子在磁场中的运动

 

练习册系列答案
相关题目

违法和不良信息举报电话:027-86699610 举报邮箱:58377363@163.com

精英家教网