题目内容

一矩形线圈,在匀强磁场中绕垂直磁感线的对称轴转动,形成如图所示的交变电动势图象,试根据图象求出:

(1)线圈转动的角速度;

(2)电动势的有效值;

(3)如果线圈的内阻是10Ω,把它跟一个电阻为990Ω的电热器连在一起组成闭合电路时,10min内通过电热器的电流产生的热量是多大?

 

【答案】

(1)105rad/s 、(2)14.1V 、(3)

【解析】

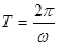
试题分析:(1)(3分)由图象得,交变电动势的周期T=6×10s

而周期 

代入数值解得 105rad/s

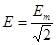
(2)(3分)由图象得,交变电动势的最大值为Em=20V,

电动势的有效值  

代入数值解得 14.1 V

(3)根据公式可得:

考点:考查了对交流电图像的理解

点评:在计算热量的时候需要用到有效值,注意单位的转化

 

练习册系列答案
相关题目

违法和不良信息举报电话:027-86699610 举报邮箱:58377363@163.com

精英家教网