题目内容
“神舟六号”载人飞船的返回舱距地面l0km 时开始启动降落伞装置,速度减至10m/s.在距地面1.25m时,返回舱的缓冲发动机开始工作,返回舱做匀减速运动,并且到达地面时速度恰好为0,则缓冲发动机开始工作后,返回舱的加速度大小为 m/s2.
【答案】分析:由匀变速直线运动规律
求解.
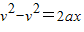
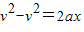
解答:解:由公式
得:
返回舱的加速度大小为:
故答案为:40
点评:解决本题的关键掌握匀变速直线运动的速度位移公式
.
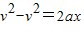
解答:解:由公式
返回舱的加速度大小为:
故答案为:40
点评:解决本题的关键掌握匀变速直线运动的速度位移公式
练习册系列答案
相关题目