题目内容
如图,一半径为R的圆表示一柱形区域的横截面(纸面)。在柱形区域内加一方向垂直于纸面的匀强磁场,一质量为m、电荷量为q的粒子沿图中直线在圆上的a点射入柱形区域,在圆上的b点离开该区域,离开时速度方向与直线垂直。圆心O到直线的距离为
。现将磁场换为平等于纸面且垂直于直线的匀强电场,同一粒子以同样速度沿直线在a点射入柱形区域,也在b点离开该区域。若磁感应强度大小为B,不计重力,求电场强度的大小。![]()
![]()
解析试题分析:解答本题注意带电粒子先在匀强磁场运动,后在匀强电场运动。带电粒子在磁场中做圆周运动。粒子在磁场中做圆周运动。设圆周的半径为r,由牛顿第二定律和洛仑兹力公式得
①
式中v为粒子在a点的速度。
过b点和O点作直线的垂线,分别与直线交于c和d点。由几何关系知,线段
和过a、b两点的轨迹圆弧的两条半径(未画出)围成一正方形。![]()
因此
②
设
有几何关系得
③
④
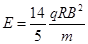
联立②③④式得 ![]()
再考虑粒子在电场中的运动。设电场强度的大小为E,粒子在电场中做类平抛运动。设其加速度大小为a,由牛顿第二定律和带电粒子在电场中的受力公式得qE="ma" ⑥
粒子在电场方向和直线方向所走的距离均为r,有运动学公式得
⑦
r=vt ⑧
式中t是粒子在电场中运动的时间。联立①⑤⑥⑦⑧式得
⑨
考点:带电粒子在匀强磁场中的运动.
点评:带电粒子在磁场中运动的题目解题步骤为:定圆心、画轨迹、求半径,同时还利用圆弧的几何关系来帮助解题.值得注意是圆形磁场的半径与运动轨道的圆弧半径要区别开来.
练习册系列答案
相关题目
| 1 |
| 2 |
A、v=
| ||||
B、v=
| ||||
C、v=
| ||||
D、v=
|