题目内容

用单摆测重力加速度的实验中,若测得的重力加速度g值偏大,其原因可能是下列中的

A.

振幅太小,测得的周期偏小

B.

计算摆长时,只考虑线长,没有加上摆球半径

C.

将n次全振动误记为(n-1)次全振动

D.

将n次全振动误记为(n+1)次全振动

答案:D
解析:

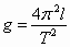
根据单摆的周期公式T=,周期的大小与振幅无关,而且振幅比较小,才能保证单摆的振动为简谐运动,故选项A错误.根据重力加速度的计算公式,测得g值偏大,可能是l测量值偏大,或是T的测量值偏小,故计算摆长时只考虑摆线长,没加上摆球的半径,会使g值偏小,选项B错误.将n次全振动误记为(n-1)次全振动,则使测得T值偏大,g值偏小;反之,将n次全振动误记为(n+1)次全振动,则使测得T值偏小,g值偏大.


练习册系列答案
相关题目

违法和不良信息举报电话:027-86699610 举报邮箱:58377363@163.com

精英家教网