题目内容
在某一旅游景区,建有一山坡滑草运动项目。该山坡可看成倾角θ的斜面,一名游客连同滑草装置总质量为m,他从静止开始匀加速下滑,在时间t内沿斜面滑下的位移为x。(不计空气阻力,重力加速度用g表示)求:
(1)游客连同滑草装置在下滑过程中受到的摩擦力Ff的大小;
(2)滑草装置与草地之间的动摩擦因数μ。
(1)游客连同滑草装置在下滑过程中受到的摩擦力Ff的大小;
(2)滑草装置与草地之间的动摩擦因数μ。
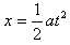
解:(1)由位移公式
沿斜面方向,由牛顿第二定律得mgsinθ-Ff=ma
联立求得
(2)在垂直斜面方向上,受力平衡FN-mgcosθ=0
又由摩擦力公式得Ff=μFN
联立并代入数值后,得
沿斜面方向,由牛顿第二定律得mgsinθ-Ff=ma
联立求得
(2)在垂直斜面方向上,受力平衡FN-mgcosθ=0
又由摩擦力公式得Ff=μFN
联立并代入数值后,得
练习册系列答案
相关题目