题目内容
.如图所示是一个平行板电容器,其电容为C,带电荷量为Q,上极板带正电,两极板间距为d。现将一个检验电荷+q由两极板间的A点移动到B点,A、B两点间的距离为s,连线AB与平行极板方向的夹角为30°,则电场力对检验电荷+q所做的功
=____________。
![]()
解析
练习册系列答案
相关题目
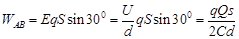
题目内容
.如图所示是一个平行板电容器,其电容为C,带电荷量为Q,上极板带正电,两极板间距为d。现将一个检验电荷+q由两极板间的A点移动到B点,A、B两点间的距离为s,连线AB与平行极板方向的夹角为30°,则电场力对检验电荷+q所做的功
=____________。
![]()
解析