题目内容

(9分)如图所示,上端开口的光滑圆形气缸竖直放置,截面积为40cm2活塞将一定质量的气体封闭在气缸内。在气缸内距缸底60cm处设有卡环ab,使活塞只能向上滑动。开始时活塞搁在ab上,缸内气体的压强等于大气压强P0=1.0×105Pa,温度为300k.现缓慢加热气缸内气体,当温度缓慢升高为330k,活塞恰好离开ab;当温度缓慢升高到363k时,(g取10m/s2)求:

①活塞的质量

②整个过程中气体对外界做的功。

 

【答案】

  ①4kg  ②26.4J

【解析】

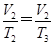
试题分析:①气体的状态参量为:T1=300k,P1=1.0×105Pa   T2=330k P2=(1.0×105+,因为:V2=V1,则有,代入数据解得:m=4kg

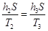
②因为,所以,得h3=66cm,W=P2S(h3-h2)=26.4J

考点:本题考查了气体的等容和等压变化。

 

练习册系列答案
相关题目

违法和不良信息举报电话:027-86699610 举报邮箱:58377363@163.com

精英家教网