题目内容
在同一水平面上有A、B两物体,相距s=7m,A在后B在前,A以vA=4m/s 向右作匀速直线运动,此时B的瞬时速度为vB=10m/s,方向也向右,且以加速度a=2m/s2作匀减速直线运动到停止运动.从此位置开始计时,A追上B所需时间为( )A.7s
B.8s
C.9s
D.10s
【答案】分析:本题要分两种情况求解:
1.若B速度减为0后停在那边等A,根据运动学基本公式算出B的位移,则A运动的位移为B的位移加7m,即可求出A运动的时间;
2.若在外力作用下B先减速再反向加速,根据AB运动的时间相等,位移之间的关系列出方程即可求解.
解答:解:1.若B速度减为0后停在那边等A,
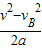
则B运动的位移为s=
=25m
所以A运动的时间为t=
=
s=8s
2.若B先减速再反向加速,由题意可知5s后B速度减为0,此时AB间的位移△x=xB-xA+7m=12m
此后AB两个物体相对运动,根据时间相等,位移之和是12m,得:
xA=vAt
xB=
xA+xB=12m
解得t=2s
所以A经过7s后追上B
故选AB.
点评:本题要考虑两种情况,对学生的要求较高,很多同学在思考时容易遗漏第二种情况,属于中档题.
1.若B速度减为0后停在那边等A,根据运动学基本公式算出B的位移,则A运动的位移为B的位移加7m,即可求出A运动的时间;
2.若在外力作用下B先减速再反向加速,根据AB运动的时间相等,位移之间的关系列出方程即可求解.
解答:解:1.若B速度减为0后停在那边等A,
则B运动的位移为s=
所以A运动的时间为t=
2.若B先减速再反向加速,由题意可知5s后B速度减为0,此时AB间的位移△x=xB-xA+7m=12m
此后AB两个物体相对运动,根据时间相等,位移之和是12m,得:
xA=vAt
xB=
xA+xB=12m
解得t=2s
所以A经过7s后追上B
故选AB.
点评:本题要考虑两种情况,对学生的要求较高,很多同学在思考时容易遗漏第二种情况,属于中档题.
练习册系列答案
相关题目