题目内容

(12分)一客运列车匀速行驶,某车轮在铁轨间的接缝处会产生周期性的撞击。坐在该客运列车中的某旅客测得从第1次到第16次撞击声之间的时间间隔为10.0s。在相邻的平行车道上有一列货车,当该旅客经过货车车尾时,货车恰好从静止开始以恒定加速度沿客车行进方向运动。该旅客在此后的20.0 s内,看到恰好有30节货车车厢被他连续超过。已知每根铁轨的长度为25.0m,每节货车车厢的长度为16.0m,货车车厢间距忽略不计。求:

(1)客车运行速度的大小;

(2)货车运行加速度的大小。

 

【答案】

 (1)v=37.5m/s         (2) a=1.35m/s2

【解析】

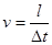
试题分析:(1)设连续两次撞击铁轨的时间间隔为△t,每根铁轨的长度为l,则客车速度为:

        (1)

其中

解得           (2)

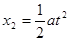
(2)设从货车开始运动后t=20.0s内客车行驶了x1,货车行驶了x2,货车的加速度为a,30节货车车厢的

总长度为L=30×16.0m。由运动学公式有

       (3)

         (4)

由题中条件有           (5)

联立(2)(3)(4)(5)式解得

       (6)

考点:本题考查了匀变速直线运动规律及追击相遇问题。

 

练习册系列答案
相关题目

违法和不良信息举报电话:027-86699610 举报邮箱:58377363@163.com

精英家教网