题目内容
冰壶比赛是在水平冰面上进行的体育项目,比赛场地示意如图.比赛时,运动员从起滑架处推着冰壶出发,在投掷线AB处放手让冰壶以一定的速度滑出,使冰壶的停止位置尽量靠近圆心O.为使冰壶滑行得更远,运动员可以用毛刷擦冰壶运行前方的冰面,使冰壶与冰面间的动摩擦因数减小.设冰壶与冰面间的动摩擦因数为μ,用毛刷擦冰面后动摩擦因数减小至
【答案】分析:为使冰壶C能够沿虚线恰好到达圆心O点,抓住两次匀减速直线运动的位移之和等于l,利用运动学知识求解.
解答:解:设冰壶在未被毛刷擦过的冰面上滑行的距离为x1,加速度大小为a1;在被毛刷擦过的冰面上滑行的距离为x2,加速度大小为a2;
用毛刷开始擦冰面时冰壶的速度为v,则
由μmg=ma1,得:a1=μg
由
μmg=ma2,得:a2=
μg
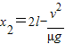
又
又
而x=x1+x2
解得:
答:运动员用毛刷擦冰面的长度应为
.
点评:解决本题的关键抓住总位移为30m,运用匀变速直线运动的速度位移公式进行求解,也可以用动能定理去求解.
解答:解:设冰壶在未被毛刷擦过的冰面上滑行的距离为x1,加速度大小为a1;在被毛刷擦过的冰面上滑行的距离为x2,加速度大小为a2;
用毛刷开始擦冰面时冰壶的速度为v,则
由μmg=ma1,得:a1=μg
由
又
又
而x=x1+x2
解得:
答:运动员用毛刷擦冰面的长度应为
点评:解决本题的关键抓住总位移为30m,运用匀变速直线运动的速度位移公式进行求解,也可以用动能定理去求解.
练习册系列答案
相关题目