题目内容
如图所示,从倾角为θ的斜面顶端,以初速度v将小球水平抛出,则小球落到斜面时的速度大小为( )A.
B.
C.
D.
【答案】分析:熟练应用平抛运动过程中位移与水平方向夹角θ的表达式:
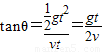
,求出竖直方向速度,然后根据
即可求出落到斜面上时的速度.
解答:解:小球落到斜面上时有:
,所以竖直方向速度为vy=gt=2vtanθ
所以物体落到斜面上的速度为
=
,故ABD错误,C正确.
故选C.
点评:平抛运动中速度与水平方向,位移与水平方向之间夹角的表达式以及它们之间的关系是经常考查的重点,要加强练习和应用.
解答:解:小球落到斜面上时有:
所以物体落到斜面上的速度为
故选C.
点评:平抛运动中速度与水平方向,位移与水平方向之间夹角的表达式以及它们之间的关系是经常考查的重点,要加强练习和应用.
练习册系列答案
相关题目
| A、8J | B、12J | C、14J | D、16J |