题目内容
如图所示,在光滑水平面上有A,B,C三个大小相同的弹性小球静止地排成一直线.已知A球质量是为m,B球质量为3m,C球质量为2m.现使A球沿三球球心连线以速度v冲向B球.假设三球间的相互作用都是弹性碰撞.试求三球不再发生相互作用时每个球的速度.
【答案】分析:先分析AB两球碰撞过程,根据动量守恒定律和动能守恒列式求解出碰撞后速度;再分析BC两球碰撞过程,根据动量守恒定律和动能守恒列式求解出碰撞后速度…,直到三球不在碰撞为止
解答:解:设小球A与B发生碰撞后速度分别为vA、vB,
因为是弹性碰撞,
由动量守恒和动能守恒得
mv=mvA+3mvB

代入数据解得

方向向左

方向向右
此后B球以速度vB与C球发生碰撞,
设碰撞后速度分别为vB′、vC,
因为是弹性碰撞,
由动量守恒和动能守恒得
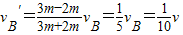
3mvB=3mvB+2mvC

代入数据解得

方向向右

方向向右
此后三球不会在碰撞
故三球不再发生相互作用时速度分别为-
v、
v、
v.
点评:本题貌似发生很多次碰撞,但只要依次分析,会发现仅仅碰撞两次,如果真是发生很多次碰撞,也要先依次分析,然后找规律简化过程.
解答:解:设小球A与B发生碰撞后速度分别为vA、vB,
因为是弹性碰撞,
由动量守恒和动能守恒得
mv=mvA+3mvB
代入数据解得
方向向左
方向向右
此后B球以速度vB与C球发生碰撞,
设碰撞后速度分别为vB′、vC,
因为是弹性碰撞,
由动量守恒和动能守恒得
3mvB=3mvB+2mvC
代入数据解得
方向向右
方向向右
此后三球不会在碰撞
故三球不再发生相互作用时速度分别为-
点评:本题貌似发生很多次碰撞,但只要依次分析,会发现仅仅碰撞两次,如果真是发生很多次碰撞,也要先依次分析,然后找规律简化过程.
练习册系列答案
相关题目