题目内容
以速度v水平抛出一小球,如果从抛出到某时刻小球的竖直分位移与水平分位移大小相等,以下判断正确的是( )A.此时小球的竖直分速度大小等于水平分速度大小
B.此时小球的速度大小为
C.小球运动的时间为
D.此时小球速度的方向与位移的方向相同
【答案】分析:通过竖直分位移与水平分位移大小相等,求出时间,根据时间可求出竖直方向的分速度以及速度的大小和方向.
解答:解:A、竖直分位移与水平分位移大小相等,有
,t=
,竖直方向上的分速度vy=gt=2v.故A错误,C正确.
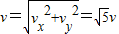
B、
.故B错误.
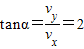
D、此时位移与水平方向的夹角为45°,速度与水平方向的夹角的正切值
,可见α>45°.故D错误.
故选C.
点评:解决本题的关键掌握处理平抛运动的方法,平抛运动可分解为水平方向上的匀速直线运动和竖直方向上的自由落体运动.且分运动与合运动具有等时性.
解答:解:A、竖直分位移与水平分位移大小相等,有
B、
D、此时位移与水平方向的夹角为45°,速度与水平方向的夹角的正切值
故选C.
点评:解决本题的关键掌握处理平抛运动的方法,平抛运动可分解为水平方向上的匀速直线运动和竖直方向上的自由落体运动.且分运动与合运动具有等时性.
练习册系列答案
相关题目