题目内容
如图所示,在一条平直的公路上有等间距的五个点A,B,C,D,E,相邻两点间距离为L=30m.一辆汽车在公路上做匀加速直线运动,经过这五个点,已知汽车(车头最前端)通过AB段和BC段所用时间分别为3s和2s.试求:(1)汽车的加速度a的大小;
(2)汽车(车头最前端)经过E点时刻的速度V的大小.
(3)汽车(车头最前端)经过BE所用时间.
【答案】分析:(1)汽车在公路上做匀加速直线运动,根据推论可分别求出AB段和BC段中间时刻的速度,再由加速度的定义式求出加速度.
(2)由速度公式求汽车经过B点时刻的速度的大小,再由位移速度关系式求解经过E点时刻的速度V的大小.
(3)根据平均速度求出汽车(车头最前端)经过BE所用时间.
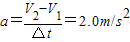
解答:解:(1)汽车在公路上做匀加速直线运动,由推论则有:
AB中间时刻的速度:
BC中间时刻的速度
则其加速度为
(2)B点速度VB=V1+at=13.0m/s
则经过E点时刻的速度V的大小为V=
=23.0m/s.
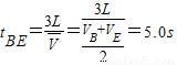
(3)汽车(车头最前端)经过BE所用时间为

答:(1)汽车的加速度a的大小是2m/s2;
(2)汽车(车头最前端)经过E点时刻的速度V的大小为23m/s.
(3)汽车(车头最前端)经过BE所用时间是5s.
点评:对于运动学问题,首先要明确物体的运动性质,其次在分析已知条件的基础上,灵活选择公式求解.
(2)由速度公式求汽车经过B点时刻的速度的大小,再由位移速度关系式求解经过E点时刻的速度V的大小.
(3)根据平均速度求出汽车(车头最前端)经过BE所用时间.
解答:解:(1)汽车在公路上做匀加速直线运动,由推论则有:
AB中间时刻的速度:
BC中间时刻的速度
则其加速度为
(2)B点速度VB=V1+at=13.0m/s
则经过E点时刻的速度V的大小为V=
(3)汽车(车头最前端)经过BE所用时间为
答:(1)汽车的加速度a的大小是2m/s2;
(2)汽车(车头最前端)经过E点时刻的速度V的大小为23m/s.
(3)汽车(车头最前端)经过BE所用时间是5s.
点评:对于运动学问题,首先要明确物体的运动性质,其次在分析已知条件的基础上,灵活选择公式求解.
练习册系列答案
相关题目