题目内容
(1)如图1所示,在高为h的平台边缘抛出小球A,同时在水平地面上距台面边缘水平距离为s处竖直上抛小球B,两球运动轨迹在同一竖直平面内,不计空气阻力,重力加速度为g.若两球能在空中相遇,则小球A的初速度vA应大于______
【答案】分析:(1)A做平抛运动,B球竖直上抛运动,要使两球在空中相遇,运动的时间必然小于A球运动时间,且A球的水平距离要等于s,两球同时运动,运动的时间相同,根据平抛运动和竖直上抛运动的公式,抓住时间,位移的关系联立方程即可求解;
(2)合力与分力的作用效果相同,是等效替代的关系.所以在实验中的作用效果相同是指橡皮条的伸长量相同且伸长到同一位置;分力与合力应处于同一个平面内,为了减小实验误差,尽可能使弹簧秤、细绳、橡皮条与木板平行;为了能更好地确定力的方向,细绳要长些,标记同一细绳方向的两点要远些;
(3)①由于电压表的内阻很大,流过的电流较小,待测电压表V1和电流表A串连接入电压合适的测量电路中,电流表A不能准确测量出流过电压表V1的电流.
②由于电压表V1接入电路后,由电流通过时其两端电压可以直接读出,因而利用串联分压的特点,选用标准电压表V2和定值电阻R2,反复测量通过滑动变阻器R3控制即可.
解答:
解:(1)由于A做平抛运动有:s=vAt′,h=
,要使两球在空中相遇,所用时间小于t,所以
.
由s=vAt,
h-h′=
,
h=VBt′-
解得:
(2)①实验中两次拉伸橡皮条要将橡皮条拉伸相同长,即将橡皮条和绳的结点拉到相同位置.故选BD;
②为了减小实验误差,尽可能使弹簧秤、细绳、橡皮条与木板平行;为了能更好地确定力的方向,细绳要长些,
标记同一细绳方向的两点要远些.故选BD.
(3)①由于电压表的内阻很大,流过的电流较小,待测电压表V1和电流表A串连接入电压合适的测量电路中,电流表A不能准确测量出流过电压表V1的电流;
②由于电压表V1接入电路后,由电流通过时其两端电压可以直接读出,因而利用串联分压的特点,选用标准电压表V2和定值电阻R2,
反复测量通过滑动变阻器R3控制即可.测量电压表V1内阻Rv的实验电路如图所示;
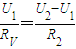
③根据串联电路的特点:
(式中U1表示V1的电压,U2表示V1 和R2串联的总电压),所以Rv=
.
故答案为:(1)
,
;(2)①B D ②B D;(3)①电流表A不能准确测量出流过电压表V1的电流,②测量电压表V1内阻Rv的实验电路如图所示;③Rv=
式中U1表示V1的电压,U2表示V1和R2串联的总电压.
点评:该题涉及的知识点比较多,特别是第三小题对同学们的分析能力要求较高,是个不错的题目,难度较大.
(2)合力与分力的作用效果相同,是等效替代的关系.所以在实验中的作用效果相同是指橡皮条的伸长量相同且伸长到同一位置;分力与合力应处于同一个平面内,为了减小实验误差,尽可能使弹簧秤、细绳、橡皮条与木板平行;为了能更好地确定力的方向,细绳要长些,标记同一细绳方向的两点要远些;
(3)①由于电压表的内阻很大,流过的电流较小,待测电压表V1和电流表A串连接入电压合适的测量电路中,电流表A不能准确测量出流过电压表V1的电流.
②由于电压表V1接入电路后,由电流通过时其两端电压可以直接读出,因而利用串联分压的特点,选用标准电压表V2和定值电阻R2,反复测量通过滑动变阻器R3控制即可.
解答:
由s=vAt,
h-h′=
h=VBt′-
解得:
(2)①实验中两次拉伸橡皮条要将橡皮条拉伸相同长,即将橡皮条和绳的结点拉到相同位置.故选BD;
②为了减小实验误差,尽可能使弹簧秤、细绳、橡皮条与木板平行;为了能更好地确定力的方向,细绳要长些,
标记同一细绳方向的两点要远些.故选BD.
(3)①由于电压表的内阻很大,流过的电流较小,待测电压表V1和电流表A串连接入电压合适的测量电路中,电流表A不能准确测量出流过电压表V1的电流;
②由于电压表V1接入电路后,由电流通过时其两端电压可以直接读出,因而利用串联分压的特点,选用标准电压表V2和定值电阻R2,
反复测量通过滑动变阻器R3控制即可.测量电压表V1内阻Rv的实验电路如图所示;
③根据串联电路的特点:
故答案为:(1)
点评:该题涉及的知识点比较多,特别是第三小题对同学们的分析能力要求较高,是个不错的题目,难度较大.
练习册系列答案
相关题目
- QQ空间
- 新浪微博
- 百度搜藏
- 人人网
- 腾讯微博
- 开心网
- 腾讯朋友
- 百度空间
- 豆瓣网
- 搜狐微博
- MSN
- QQ收藏
- 我的淘宝
- 百度贴吧
- 搜狐白社会
- 更多...
百度分享
一个有一定厚度的圆盘,可以绕通过中心垂直于盘面的水平轴转动,用下面的方法测量它匀速转动时的角速度。
实验器材:电磁打点计时器、米尺、纸带、复写纸片。
实验步骤:
(1)如图1所示,将电磁打点计时器固定在桌面上,将纸带的一端穿过打点计时器的限位孔后,固定在待测圆盘的侧面上,使得圆盘转动时,纸带可以卷在圆盘侧面上。
(2)启动控制装置使圆盘转动,同时接通电源,打点计时器开始打点。
(3)经过一段时间,停止转动和打点,取下纸带,进行测量。
① 由已知量和测得量表示的角速度的表达式为ω= 。式中各量的意义是:
.
② 某次实验测得圆盘半径r=5.50×10-2m,得到纸带的一段如图2所示,求得角速度为 。
(1) (2)6.8/s。 |