题目内容

如图,均匀磁场中有一由半圆弧及其直径构成的导线框,半圆直径与磁场边缘重合;磁场方向垂直于半圆面(纸面)向里,磁感应强度大小为B0.使该线框从静止开始绕过圆心O、垂直于半圆面的轴以角速度ω匀速转动半周,在线框中产生感应电流。现使线框保持图中所示位置,磁感应强度大小随时间线性变化。为了产生与线框转动半周过程中同样大小的电流,磁感应强度随时间的变化率的大小应为

A.           B.           C.            D.

 

【答案】

C

【解析】

试题分析:根据法拉第电磁感应定律:

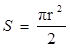
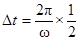
当面积发生改变时可得:

其中

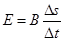
当磁场发生改变时可得:

其中

根据题意可得:=,正确答案为C

考点:考查了法拉第电磁感应定律的应用

点评:为了产生与线框转动半周过程中同样大小的电流,只要产生相同的感应电动势即可。

 

练习册系列答案
相关题目

违法和不良信息举报电话:027-86699610 举报邮箱:58377363@163.com

精英家教网