题目内容
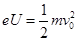
一个初速度为零的电子通过电压为U的电场加速后,从C点沿水平方向飞入电场强度为E的匀强电场中,到达该电场中另一点D时,电子的速度方向与电场强度方向的夹角正好是120°,如图所示。试求C、D两点沿电场强度方向的距离y。
![]()
【答案】
![]()
【解析】
试题分析:
电子加速过程 由
(2分)
得
(1分)
在竖直方向
(2分)
(2分 )
得
(1分)
CD两点沿场强方向的距离
(2分)
考点:带电粒子在匀强电场中的运动
练习册系列答案
相关题目
| A、电子在N点的动能小于在M点的动能 | B、该电场不可能是匀强电场 | C、该电子运动的加速度越来越小 | D、电子运动的轨迹为曲线 |
| A、电子在N点的动能小于在M点的动能 | B、该电场有可能是匀强电场 | C、该电子运动的加速度越来越小 | D、电子运动的轨迹为曲线 |