题目内容
宇宙中两个相距较近的天体称为“双星”,它们以二者连线上的某一点为圆心做匀速圆周运动,而不致因万有引力的作用吸引到一起.设二者质量分别为m1和m2,二者相距L,万有引力常数为G,(1)试证明它们的轨道半径之比、线速度之比都与它们的质量成反比;
(2)试写出它们的角速度的表达式.
【答案】分析:“双星”围绕它们连线上的同一点为圆心做匀速圆周运动,运动过程中两者的周期、角速度相同,由对方的万有引力提供向心力,根据牛顿第二定律分别对两星进行列方程求解.
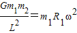
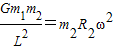
解答:解:(1)根据万有引力提供向心力得:


得
又∵v=ωR
∴
(2)由
和
且R1+R2=L
得
答:(1)它们的轨道半径之比、线速度之比都与它们的质量成反比,证明如上;
(2)它们的角速度的表达式是
.
点评:“双星”是万有引力部分常见的题型,关键抓住“双星”的条件:角速度相同、周期相同,采用隔离法由牛顿第二定律研究.
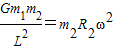
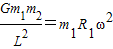
解答:解:(1)根据万有引力提供向心力得:
得
又∵v=ωR
∴
(2)由
且R1+R2=L
得
答:(1)它们的轨道半径之比、线速度之比都与它们的质量成反比,证明如上;
(2)它们的角速度的表达式是
点评:“双星”是万有引力部分常见的题型,关键抓住“双星”的条件:角速度相同、周期相同,采用隔离法由牛顿第二定律研究.
练习册系列答案
相关题目