题目内容
已知万有引力常量G,地球半径R,月球和地球之间的距离r,同步卫星距地面的高度h,月球绕地球的运转周期T1,地球的自转周期T2,地球表面的重力加速度g.某同学根据以上条件,提出一种估算地球质量M的方法:
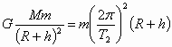
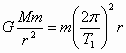
同步卫星绕地球作圆周运动,由G
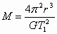
得M=![]()
(1)请判断上面的结果是否正确,并说明理由.如不正确,请给出正确的解法和结果.
(2)请根据已知条件再提出两种估算地球质量的方法并解得结果.
答案:
解析:
解析:
|
(1)不正确 3分 应为 得 (2)请根据已知条件再提出两种估算地球质量的方法并解得结果. 由 得 或由 得 |
练习册系列答案
相关题目
太阳系八大行星绕太阳运动的轨道可粗略地认为是圆,各行星的半径、日星距离和质量如下表所示:
|
| A、太阳系的八大行星中,海王星的圆周运动速率最大 |
| B、太阳系的八大行星中,水星的圆周运动周期最大 |
| C、如果已知地球的公转周期为1年,万有引力常量G=6.67×10-11Nm2/kg2,再利用地球和太阳间的距离,则可以求出太阳的质量 |
| D、如果已知万有引力常量G=6.67×10-11Nm2/kg2,并忽略地球的自转,利用地球的半径以及地球表面的重力加g=10m/s2,则可以求出太阳的质量 |