题目内容

将一小球从高处水平抛出,最初2s内小球动能EK随时间t变化的图线如图所示,不计空气阻力,重力加速度g=10m/s2.根据图象信息,不能确定的物理量是(     )

A.小球的质量

B.小球的初速度

C.最初2s内重力对小球做功的平均功率

D.小球抛出时的高度

 

【答案】

D

【解析】

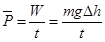
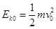
试题分析:根据机械能守恒定律有,由图像可知,2s时小球的动能为30J,代入上式可求得小球质量;从而可求得小球下落的高度,但无法确定小球抛出时的高度;根据可确定2s内重力做功的平均功率;根据动能定义可确定小球的初速度;由上述可知,题目中问不能确定的物理量,故应选D;

考点:机械能守恒定律、抛体运动、功率

 

练习册系列答案
相关题目

违法和不良信息举报电话:027-86699610 举报邮箱:58377363@163.com

精英家教网