题目内容

如图所示,在xOy平面直角坐标系中,直角三角形MNL内存在垂直于xOy平面向里磁感应强度为B的匀强磁场,三角形的一直角边ML长为6a,落在y轴上,∠NML = 30°,其中位线OP在x轴上.电子束以相同的速度v0从y轴上-3a≤y≤0的区间垂直于y轴和磁场方向射入磁场,已知从y轴上y=-2a的点射入磁场的电子在磁场中的轨迹恰好经过点.若在直角坐标系xOy的第一象限区域内,加上方向沿y轴正方向、大小为E=Bv0的匀强电场,在x=3a处垂直于x轴放置一平面荧光屏,与x轴交点为Q.忽略电子间的相互作用,不计电子的重力.试求:

(1)电子的比荷;

(2)电子束从+y轴上射入电场的纵坐标范围;

(3)从磁场中垂直于y轴射入电场的电子打到荧光屏上距Q点的最远距离。

 

【答案】

(1);(2)0≤y≤2a ;(3)

【解析】

试题分析:(18分)(1)由题意可知电子在磁场中的轨迹半径为:

r = a       (1分)

由牛顿第二定律得:    (2分)

电子的比荷:           (1分)

电子能进入电场中,且离O点上方最远,电子在磁场中运动圆轨迹恰好与边MN相切,电子运动轨迹的圆心为O′点,如图所示。

则:     (1分)

有:   (1分)

即粒子从D点离开磁场进入电场时,离O点上

方最远距离为OD=ym=2a   (1分)

所以电子束从y轴射入电场的范围为0≤y≤2a (1分)

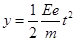
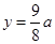
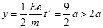
(3)假设电子没有射出电场就打到荧光屏上,有:

3a=v0t,,所以,电子应射出电场后打到荧光屏上。(1分)

电子在电场中做类平抛运动,设电子在电场的运动时间为,竖直方向位移为y,水平位移为x,水平:x=v0t (1分)

竖直: (1分)

代入得:        (1分)

设电子最终打在光屏的最远点距Q点为H,电子射出电场时的夹角为θ有:

  (2分)

有: (2分)

时,即时,有最大值; (1分)

由于,所以          (1分)

考点:本题考查带电粒子在磁场、电场中的运动。

 

练习册系列答案
相关题目

违法和不良信息举报电话:027-86699610 举报邮箱:58377363@163.com

精英家教网