题目内容

如图所示,在仰角为 的斜抛上以大小不变的初速度 抛出小球,问:以怎样的角度抛出小球,能使小球在斜抛上射程最远?

答案:略
解析:

将小球的运动看成与水平方向成θ角的匀速直线运动和一个自由落体运动的合运动,如图所示.

 

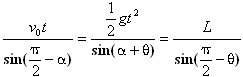
则在△ABC中应用正弦定理得.

由上面等式中消去t,可得到.

其中αg为定值.要使L最大,则,即.


提示:


练习册系列答案
相关题目

违法和不良信息举报电话:027-86699610 举报邮箱:58377363@163.com

精英家教网