题目内容
一个物体从静止开始做匀加速直线运动,以T为时间间隔,在第三个T时间内位移是3m第三个T的终了时刻的瞬时速度为3m/s,则( )A.物体的加速度是1m/s2
B.第一个T时间的终了时刻的瞬时速度为1m/s
C.时间间隔是1.2s
D.物体在第一个T时间内的位移为1m?
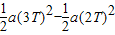
【答案】分析:第三个T内的位移等于3T内的位移减去2T内的位移,根据位移公式写出第三个T内的位移表达式x=
=3m.再根据速度时间公式写出第三个T末的速度表达式v=a?3T,联立方程求出加速度和时间间隔T.根据速度公式v=aT求出第一个T末的速度,以及根据位移公式x=
求出第一个T内的位移.
解答:解:A、第三个T内的位移x=
=3m.第三个T末的瞬时速度v=a?3T=3aT=3m/s,联立两个方程求解得:T=1.2s,加速度a=
.故A错误,C正确.
B、第一个T末的速度v=aT=1m/s.故B正确.
D、第一个T内的位移x=
=0.6m.故D错误.
故选BC.
点评:解决本题的关键掌握速度时间公式v=v+at,以及位移时间公式
.
解答:解:A、第三个T内的位移x=
B、第一个T末的速度v=aT=1m/s.故B正确.
D、第一个T内的位移x=
故选BC.
点评:解决本题的关键掌握速度时间公式v=v+at,以及位移时间公式
练习册系列答案
相关题目
一个物体从静止开始做匀加速直线运动,加速度大小为a1,当速度大小为v1时,将加速度反向,大小恒定为a2,恰能使这物体在相同时间内回到原出发点,回到原出发点时的速度大小为v2.则下列关系式中正确的有( )
A、
| ||||
B、
| ||||
C、
| ||||
D、
|
一个物体从静止开始做匀加速直线运动.它在第一秒内与在第二秒内位移之比为x1:x2,在走完前1m时与走完前2m时的速度之比为v1:v2.下列正确的是( )
| A、x1:x2=1:3 v1:v2=1:2 | ||
B、x1:x2=1:3 v1:v2=1:
| ||
| C、x1:x2=1:4 v1:v2=1:2 | ||
D、x1:x2=1:4 v1:v2=1:
|