题目内容
如图所示,长为L的不可伸长的绳子一端固定在O点,另一端系质量为m的小球,小球静止在光滑水平面上.现用大小为F水平恒力作用在另一质量为2m的物块上,使其从静止开始向右运动,一段时间后撤去该力,物块与小球发生正碰后速度变为原来的一半,小球恰好能在竖直平面内做圆周运动.已知重力加速度为g,小球和物体均可视为质点,试求:(1)小物块碰撞前速度V的大小;
(2)碰撞过程中系统损失的机械能;
(3)恒力F作用时间.
【答案】分析:(1)小球恰好通过最高点作圆周运动,根据牛顿第二定律求出临界速度,根据机械能守恒求出碰撞后速度.碰撞过程中,物块和小球系统动量守恒,求出小物块碰撞前速度V的大小.
(2)碰撞过程中系统损失的机械能就是系统动能的变化量.
(3)根据牛顿第二定律和运动学公式求出恒力F作用时间.
解答:解:(1)小球恰好通过最高点作圆周运动,此时重力刚好提供向心力,设速度为V,有

得V=
设小球碰撞后速度为V1,其后在摆至最高点过程中,机械能守恒:
mV12=
mV2+mg?2L
代入V值可得V1=
碰撞过程中,物块和小球系统动量守恒,有
2mV=mV1+2m?
代入V1值可得V=
(2)碰撞过程中系统损失的机械能
△E=
?2m?V2-
?2m?
-
mV12
代入所求出的速度值可得
△E=
mgL
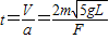
(3)小球在水平面运动的加速度
由速度公式V=at得力F作用时间

答:(1)小物块碰撞前速度V的大小是
;
(2)碰撞过程中系统损失的机械能是
mgL;
(3)恒力F作用时间是
.
点评:本题关键明确各个运动过程,明确小球与小物块碰撞过程中系统动量守恒,要求同学们能正确进行受力,并能联想到已学的物理模型,根据相关公式解题.
(2)碰撞过程中系统损失的机械能就是系统动能的变化量.
(3)根据牛顿第二定律和运动学公式求出恒力F作用时间.
解答:解:(1)小球恰好通过最高点作圆周运动,此时重力刚好提供向心力,设速度为V,有
得V=
设小球碰撞后速度为V1,其后在摆至最高点过程中,机械能守恒:
代入V值可得V1=
碰撞过程中,物块和小球系统动量守恒,有
2mV=mV1+2m?
代入V1值可得V=
(2)碰撞过程中系统损失的机械能
△E=
代入所求出的速度值可得
△E=
(3)小球在水平面运动的加速度
由速度公式V=at得力F作用时间
答:(1)小物块碰撞前速度V的大小是
(2)碰撞过程中系统损失的机械能是
(3)恒力F作用时间是
点评:本题关键明确各个运动过程,明确小球与小物块碰撞过程中系统动量守恒,要求同学们能正确进行受力,并能联想到已学的物理模型,根据相关公式解题.
练习册系列答案
相关题目