题目内容

如图所示,一玩滚轴溜冰的小孩(可视作质点)质量为m=30 kg,他在左侧平台上滑行一段距离后平抛,恰能无碰撞地沿圆弧切线从A点进入光滑竖直圆弧轨道,并沿轨道下滑,A、B为圆弧两端点,其连线水平.已知圆弧半径为R=1.0 m,对应圆心角为=106°,平台与AB连线的高度差为h=0.8 m.(计算中取g=10 m/s2,sin53°=0.8,cos53°=0.6)求:

(1)小孩平抛的初速度

(2)小孩运动到圆弧轨道最低点O时对轨道的压力

答案:
解析:

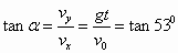
  (1)由于小孩无碰撞进入圆弧轨道,即小孩落到A点时速度方向沿A点切线方向,则

  

  又由

  而

  联立以上各式得

  (2)设小孩到最低点的速度为,由机械能守恒,有

  在最低点,据牛顿第二定律,有

  代入数据解得FN=1290 N

  由牛顿第三定律可知,小孩对轨道的压力为1290 N.


练习册系列答案
相关题目

违法和不良信息举报电话:027-86699610 举报邮箱:58377363@163.com

精英家教网