题目内容

(11分)如图所示,R为电阻箱,V为理想电压表.当电阻箱读数为R1=2 Ω时,电压表读数为U1=4 V;当电阻箱读数为R2=5 Ω时,电压表读数为U2=5 V.求:

 

(1)电源的电动势E和内阻r;

(2)当电阻箱R读数为多少时,电源的输出功率最大?最大值Pm为多少?

 

【答案】

(1) (2) 当时, P有最大值,

【解析】

试题分析:(1)由闭合电路欧姆定律得:  

联立上述方程,代入数据解得

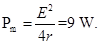
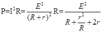
(2)由电功率表达式

由上式可知当时, P有最大值,

考点:闭合回路欧姆定律

 

练习册系列答案
相关题目

违法和不良信息举报电话:027-86699610 举报邮箱:58377363@163.com

精英家教网